项目负责人:史广泰 副教授
成果概况:现阶段在天然气水合物开采过程中,主要采用气液分离输送的方法进行输送,由于涉及到气液分离输送导致其输送系统较为复杂,而本项目研制的多相流泵无需进行气液分离也可进行天然气水合物的输送,即气液混输。该多相流泵的结构不同于传统的各类泵,该泵叶轮采用螺旋轴流式结构,由于结构的特殊性,其气体含量可达到60%以上,且在设计过程中考虑了叶片对形成物可燃冰的破坏,因此是一种理想的天然气水合物输送泵。

天然气水合物多相流泵水力模型


可燃冰 天然气水合物输送泵样机
成果水平:(1)建立了天然气水合物输送泵水力模型设计方法;(2)实现了成果应用;(3)授权国家发明专利3项;(4)发表学术论文10余篇,其中SCI检索6篇。
成果名称:多相混输泵叶顶间隙涡流与压力脉动特性研究
项目负责人:史广泰 副教授
成果概况:为了揭示混输泵叶顶间隙内流动特性及叶顶泄漏涡与压力脉动耦合作用机理,进一步提升我国油气开发装备水平,本项目针对多相混输泵内部流动规律、叶顶泄漏流、叶顶泄漏涡特性以及叶顶泄漏涡与压力脉动关联特性进行研究。分析了不同叶顶间隙下混输泵叶轮和导叶内的流态特征,揭示了泵内和叶顶区相态分布、气液速度等变化规律;基于旋涡强度方法预测了叶顶泄漏涡运行轨迹,并对叶顶间隙内流态特性、如涡量、速度和湍动能等进行定性和定量分析,同时对叶顶和间隙区涡流特性进行深入研究,着重分析了不同进口含气率对流态特性的影响规律。最后定义了压力系数和压力脉动强度,揭示了叶顶泄漏涡时空演变规律,建立了不同叶顶间隙下叶顶泄漏涡与压力脉动强度之间的关系。


轴向气相分布 轴向气液速度差


混输泵子午面气相分布 叶顶间隙内速度分布
T0+3/6T T0+4/6T T0+5/6T T0+T
叶顶泄漏涡时空演变特性

IGVF=0 IGVF=10%
增压单元子午面压力脉动强度分布
成果水平:(1)荣获2021届四川省优秀大学生荣誉称号1人;(2)授权国家发明专利4项,申请发明专利10项;(3)发表学术论文40余篇,其中SCI检索15篇。(4)出版学术专著1部。
成果名称:断电事故下核主泵惰转停机过程动力学特性及非能动控制研究
项目负责人:叶道星 副教授
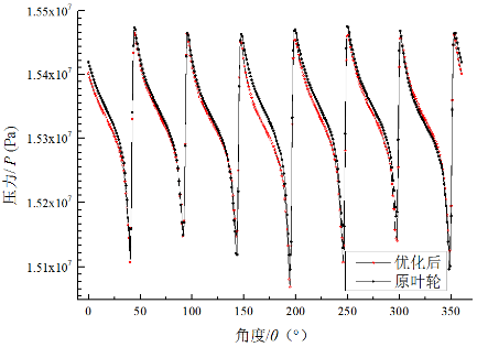
成果概况:研究分析了惰转工况下的流量、扬程、扭矩以及压力和速度的变化规律,给出了叶轮叶片上的不同惰转条件下的载荷分布,最后采用涡识别判断方法结合表面流谱形态分析诊断了核主泵叶片上的涡动力特性。研究分析了叶片进出口安放角的显著性,以核主泵叶轮的效率作为回归分析数据,得到偏回归系数及显著特性。利用Kriging模型建立了叶轮叶片进出口安放角参数与泵性能的关系,基于遗传算法对叶片参数进行多目标寻优并进行性能预测和对比分析,优化后压力载荷得到了显著提高。






成果名称:水电工程灾害评价、预警体系及应急措施研究与应用
项目负责人:胡安奎 博士/讲师
成果概况:本成果基于企/事业单位委托项目——“流域水电开发安全保障技术研究”(中国电建集团昆明勘测设计研究院)、“特大地下洞室群优质高效安全环保施工关键技术与应用”(中国水利水电第十四局)等展开,取得了如下重要成果:
1、在依托工程地质条件及背景下,融合岩土工程最新理论与技术发展,建立了科学、实用的大型地下洞室群施工期动态反馈控制分析流程,其主要包括如下步骤:初始地应力场获取→前一期开挖完成后围岩力学行为评价→当前期开挖完成后基础信息及围岩力学行为复核→当前期开挖过程中不良地质段动态调控→当前期开挖完成后围岩稳定性评价→当前期地下洞室群围岩力学参数识别→下一期开挖围岩力学行为预测与安全评价→闭环反馈,直至地下洞室群全部施工完成为止,地下洞室群施工期动态反馈控制结束。
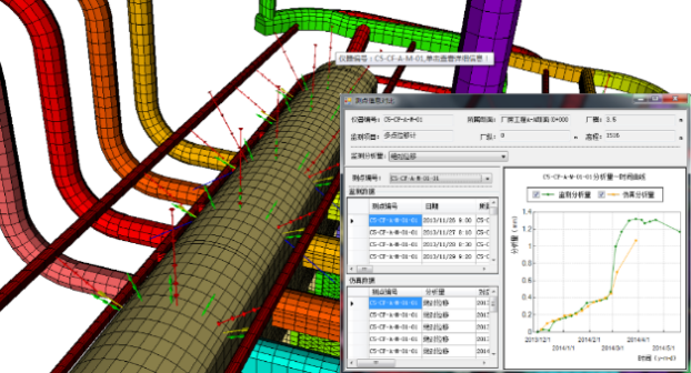
2、基于大型通用有限元分析软件ABAQUS和Microsoft SQL Server数据库软件,采用C#和Python编程语言建立了基于施工全过程的地下洞室群动态安全信息模型,耦合可视化技术、监测分析理论、参数反演理论、数值仿真技术及计算机技术实现了黄登水电站地下洞室群监测信息可视化管理、施工面貌与洞室安全状态的动态耦合可视化展示以及施工信息随施工进度的动态更新。
3、针对可能引发水电工程灾变的强震情况的极端条件,采用数值仿真技术研究水电工程典型建筑物可能出现的破坏模式,建立了能同时考虑大坝、地基和库水间的动力相互作用、坝体内横缝间的往复开合、邻近坝体的近域地基的地形等因素的高坝体系地震响应模型,采用三维非线性有限元法——断裂扩展有限元(模拟强震作用下大坝裂缝扩展)、损伤模型(反映混凝土动态情况下多轴弹塑性损伤破坏),利用地震超载法(调整地震动峰值加速度)研究强震荷载作用下混凝土坝的失事模式及失事机理,得到了大坝的抗震关键部位和薄弱环节。
4、针对可能引发水电工程灾变爆炸冲击的极端条件,采用HJC混凝土本构模型,研究了混凝土坝在制导炸弹侵彻爆炸及库前水下爆炸冲击荷载作用下的损伤特征、破坏模式及规律、坝体断裂后的运动特征,评价爆破震动对大坝安全的影响及性能的预测,揭示大坝抗爆薄弱部位。
5、研究了不同失效路径下重力坝体系的可靠度,建立了基于有限元结果的混凝土重力坝抗震失效概率估计模型,视水平地震加速度系数为连续型随机变量,采用数值拟合积分法研究不同坝段的抗震风险率;基于事件树与事故树分析方法,采用定量分析与定性方法相结合求解大坝溃坝总风险率;考虑重力坝结构本身抗力及外荷载的时变性,采用时变可靠度计算方法,研究了结构的时变风险率及维护时间决策的问题。
大型地下洞室群施工期动态反馈控制分析流程


大型地下洞室群施工进度三维可视化


(a) 整体坝段上游视图(b) 整体坝段下游视图
考虑三向地震作用下重力坝损伤开裂破坏示意



(a) R=0m (b) R=10m (c)R=15m
不同爆心距下的重力坝破坏模式示意
成果水平:该项成果已公开发表学术论文10余篇(SCI、EI收录4篇)。


